当前位置: 首页 · 太阳集团 · 招生信息 · 正文

招生信息

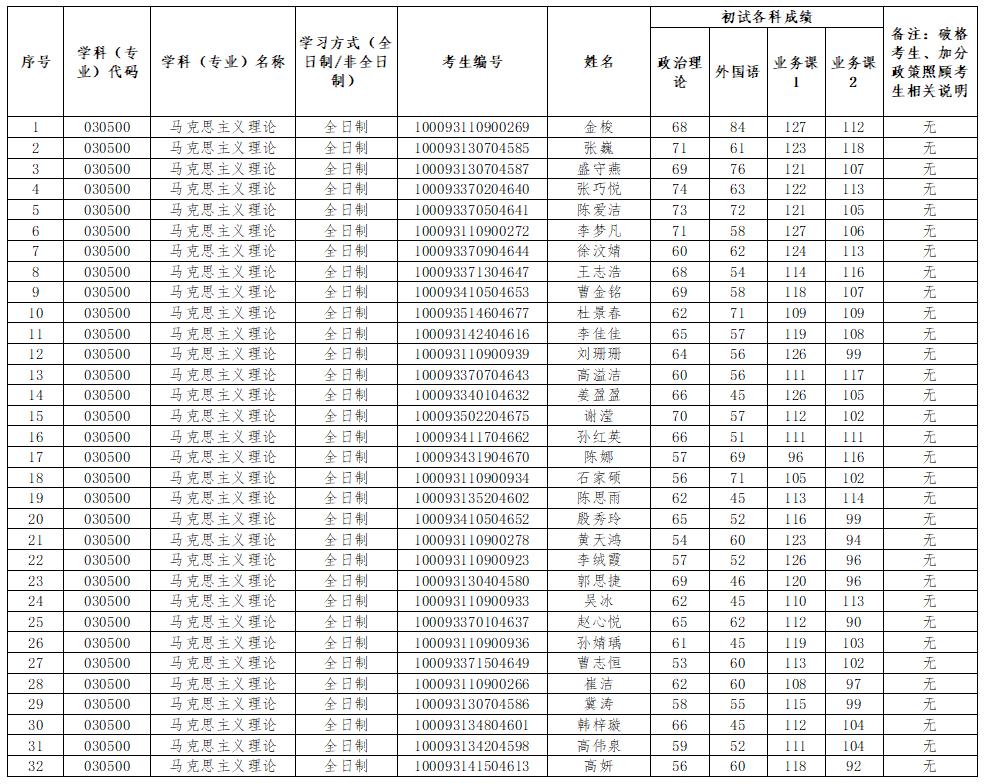
tyc522cc太阳成集团2023年硕士研究生招生考试复试第一志愿考生名单
来源: 发布日期:2023/03/24 点击量:

tyc522cc太阳成集团

2023年3月24日

版权所有:tyc522cc太阳成集团(CHINA·SunCityGroup)官方网站|主頁欢迎您    电话010-88803302     京公网安备 110402430037 号

Baidu
sogou